主要产品
PRODUCTS
甲壳素(甲壳质)系列
首页 - 主要产品 - 甲壳素(甲壳质)系列

食品级甲壳素(甲壳质)

 Food grade chitin


甲壳质,英文Chitin,也称甲壳素、几丁质等。

甲壳质是广泛存在于自然界的一种含氮元素的多糖类生物性高分子,主要的来源于虾、蟹、昆虫等甲壳类动物的外壳与软件动物的器官(例如乌贼的软骨),以及真菌类的细胞壁等。其蕴藏量在地球上的天然高分子中占第二位,估计每年自然界生物的合成量可达 1 × 1011吨,仅次于纤维素。


甲壳质一般由虾、蟹壳提纯而成,含有少量的胺基(-NH2)与 绝大部分的乙酰基(-COCH3)。甲壳质不溶于一般的弱无机酸或有机溶剂,不溶于碱液中,只溶于强的无机酸,溶解过程会发生分子链的降解。


食品级甲壳

优质甲壳质主要以深海雪蟹腿为原料生产。

产品重金属等各项指标远远优于国家标准的规定的限量标准。


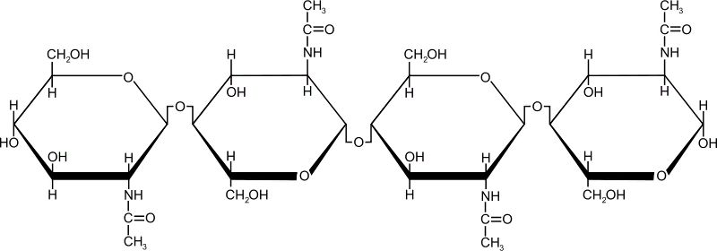
甲壳质化学名:β-(1→4)-2-乙酰氨基-2-脱氧-D-葡萄糖

甲壳质分子式: (C8H13NO5)n

甲壳质分子量:壳聚糖是混合分子量产品,单元体的分子量为203

甲壳质CAS编码:1398-61-4

       甲壳质结构:


       



甲壳质用途
       该种甲壳质是生产食品级及以上级别壳聚糖、氨基葡萄糖盐酸盐、氨基葡萄糖硫酸盐等产品的基本原料,可应用于食品行业、原料中间体等领域。


    


   

    技术指标

项目

规格

外观

类白色

粒度

片状或粉末

含量

>90%

水分

<10%

灰分

<2.0%

<2ppm

<1ppm